Skip to content Skip to sidebar Skip to footer

Digital Control System Analysis And Design 3rd Edition Solution Manual

Digital Control System Analysis And Design 3rd Edition Solution Manual Pdf By Morriesworld55 Issuu

Digital Control System Analysis And Design 3rd Edition Solution Manual Pdf By Morriesworld55 Issuu

Digital control system analysis and design 3rd edition solution manual. 4th Edition March 6 2014 Language. Process Control Instrumentation Technology 8th Edition Solutions Manual Curtis D. No need to wait for office hours or assignments to be graded to find out where you took a wrong turn.

On the practical aspects of designing and implementing digital control systems. Merely said the power system analysis and design 5th edition solution manual is universally compatible with any devices to read. This revision of a text in digital controls is a significant update with the integration of MATLAB software and new cove.

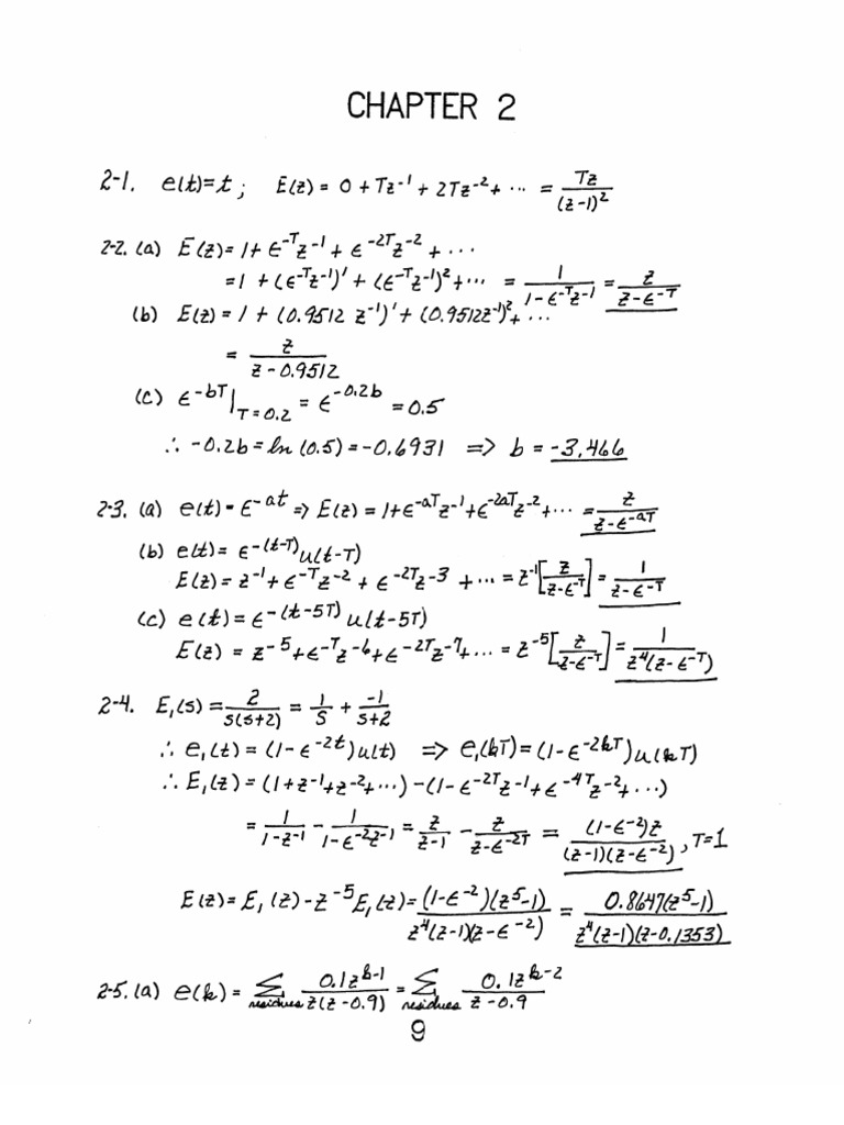
02b ln 05 06931 b 3466. Our digital library saves in multiple countries allowing you to get the most less latency time to download any of our books in the manner of this one. Solution Digital Control System Analysis and Design 3E - Charles Philips Troy Naglepdf - Free download as PDF File pdf or read online for free.

Solution Manual for Digital Control System Analysis and Design 4th Edition by Phillips. No need to wait for office hours or assignments to be graded to find out where you took a wrong turn. The following DIGITAL CONTROL SYSTEM ANALYSIS AND DESIGN 3RD EDITION SOLUTION MANUAL PDF Pdf file begin with Introduction Brief Discussion up until the IndexGlossary page look at the table of.

Solution Manual for Digital Control Engineering Analysis and Design 2nd Edition M. Find the z-transforms of the number sequences generated by sampling the following time functions every T seconds beginning at t 0. Solutions manual digital control system analysis design.

English Digital Control Systems Analysis and Design is appropriate for a one semestertwo-quarter senior-level course in digital. Digital Control System Analysis Design. Solution Manual for Fundamentals of Parallel Processing by Jordan.

Solution Manual Digital Control and State Variable Methods Discrete-time Control Systems by Ogata 2nd Editionpdf Solutions Manual Digital Control System Analysis. Phillips Troy Nagle Aranya Chakrabortty.

Solution Manual For Digital Control System Analysis And Design 4th Edition By Phillips Nagle By Sawoe727 Issuu

Solution Manual For Digital Control System Analysis And Design 4th Edition By Phillips Nagle By Sawoe727 Issuu

Solution Manual For Digital Control System Analysis And Design

Solution Manual For Digital Control System Analysis And Design

Solution Digital Control System Analysis And Design 3e Charles Philips Troy Nagle Pdf

Solution Digital Control System Analysis And Design 3e Charles Philips Troy Nagle Pdf

Solution Digital Control System Analysis And Design 3e Charles Philips Troy Nagle Pdf

Solution Digital Control System Analysis And Design 3e Charles Philips Troy Nagle Pdf

Digital Control System Analysis And Design 3e Charles Philips Troy Nagle Qn85zqdqmyn1

Digital Control System Analysis And Design 3e Charles Philips Troy Nagle Qn85zqdqmyn1

Chapter 1 Solutions Digital Control System Analysis And Design 3rd Edition Chegg Com

Chapter 1 Solutions Digital Control System Analysis And Design 3rd Edition Chegg Com

Solution Manual Digital Control System Analysis And Design 3rd Ed Charles L Phillips H Troy Nagle Ra

Solution Manual Digital Control System Analysis And Design 3rd Ed Charles L Phillips H Troy Nagle Ra

Chapter 5 3 Solutions Digital Control System Analysis Design 4th Edition Chegg Com

Chapter 5 3 Solutions Digital Control System Analysis Design 4th Edition Chegg Com

Digital Control System Analysis And Design 3rd Edition Solution Manual Pdf

Digital Control System Analysis And Design 3rd Edition Solution Manual Pdf

Https Pingpdf Com Download Digital Control System Analysis And Design Phillips Solution Manual Pdf 5ad59d6bd64ab25996822620 Html

Https Pingpdf Com Download Digital Control System Analysis And Design Phillips Solution Manual Pdf 5ad59d6bd64ab25996822620 Html

Solutions To Digital Control System Analysis And Design 9780133098327 Homework Help And Answers Slader

Solutions To Digital Control System Analysis And Design 9780133098327 Homework Help And Answers Slader

Digital Control System Analysis And Design Pdf Free Download Blog Godry Social Shopping Iscriviti Alla Coimmunity Gratis

Digital Control System Analysis And Design Pdf Free Download Blog Godry Social Shopping Iscriviti Alla Coimmunity Gratis

Solutions Manual Digital Control System Analysis Amp Design 4 E Charles L Phillips Troy Nagle Aranya Chakrabortty Donald Trump American Government

Solutions Manual Digital Control System Analysis Amp Design 4 E Charles L Phillips Troy Nagle Aranya Chakrabortty Donald Trump American Government

Solutions Manual Digital Control System Analysis Design 4th Edition Charles L

Solutions Manual Digital Control System Analysis Design 4th Edition Charles L

Chapter 6 Solutions Digital Control System Analysis And Design 3rd Edition Chegg Com

Chapter 6 Solutions Digital Control System Analysis And Design 3rd Edition Chegg Com

Solutions From Design And Analysis O Experiments Montgomery

Solutions From Design And Analysis O Experiments Montgomery

1

1

13200836 Solution Manual Process Dynamics And Control Donald R Cougha

13200836 Solution Manual Process Dynamics And Control Donald R Cougha

2

2

2

2

Solutions Manual Digital Control System Analysis Design 4 E Charles L Phillips Troy Nagle Aranya Chakrabortty X4e6xdr6v9n3

Solutions Manual Digital Control System Analysis Design 4 E Charles L Phillips Troy Nagle Aranya Chakrabortty X4e6xdr6v9n3

Microelectronics Circuit Analysis And Design 4th Edition Solution Manual Pdf

Microelectronics Circuit Analysis And Design 4th Edition Solution Manual Pdf

Http Www Ece Mtu Edu Faculty Shiyan Ee4262spring17 Digitalcontroltextbook Pdf

Http Www Ece Mtu Edu Faculty Shiyan Ee4262spring17 Digitalcontroltextbook Pdf

Https Encrypted Tbn0 Gstatic Com Images Q Tbn And9gcqkd9kb Mg6k If175buggf4cc1wg2yzs7ysqlugoedxyejnmna Usqp Cau

Https Encrypted Tbn0 Gstatic Com Images Q Tbn And9gcqkd9kb Mg6k If175buggf4cc1wg2yzs7ysqlugoedxyejnmna Usqp Cau

2

2

2

2

Control Techniques Manuals Pdf Induced Info

Control Techniques Manuals Pdf Induced Info

2

2

2

2

2

2

E Books And Their Solution Manuals

E Books And Their Solution Manuals

Linear System Theory And Design The Oxford Series In Electrical And Computer Engineering Chen Chi Tsong 9780195117776 Amazon Com Books

Linear System Theory And Design The Oxford Series In Electrical And Computer Engineering Chen Chi Tsong 9780195117776 Amazon Com Books

2

2

Process Dynamics And Control 4th Edition Wiley

Process Dynamics And Control 4th Edition Wiley

Solution Manual Digital Control System Analysis And Design 3rd Ed Charles L Phillips H Troy Nagle Ra

Solution Manual Digital Control System Analysis And Design 3rd Ed Charles L Phillips H Troy Nagle Ra

Solution Manual For Digital Control Engineering Analysis And Design 2 Nbsp Ed 9780123943910 0123943914 Dokumen Pub

Solution Manual For Digital Control Engineering Analysis And Design 2 Nbsp Ed 9780123943910 0123943914 Dokumen Pub

2

2

1

1

2

2

Pdf Feedback Control Systems Phillips

Pdf Feedback Control Systems Phillips

Feedback Control Systems Solution Manual Download

Feedback Control Systems Solution Manual Download

Pdf Pid Control System Analysis And Design

Pdf Pid Control System Analysis And Design

2

2

2

2

Digital Control Of Dynamic Systems 3rd Edition Franklin Gene F Powell J David Workman Michael L 9780201820546 Amazon Com Books

Digital Control Of Dynamic Systems 3rd Edition Franklin Gene F Powell J David Workman Michael L 9780201820546 Amazon Com Books

Chapter 5 3 Solutions Digital Control System Analysis Design 4th Edition Chegg Com

Chapter 5 3 Solutions Digital Control System Analysis Design 4th Edition Chegg Com

Digital Control Engineering 3rd Edition

Digital Control Engineering 3rd Edition

Solution Manual For Digital Control Engineering Analysis And Design 2 Nbsp Ed 9780123943910 0123943914 Dokumen Pub

Solution Manual For Digital Control Engineering Analysis And Design 2 Nbsp Ed 9780123943910 0123943914 Dokumen Pub

Https Encrypted Tbn0 Gstatic Com Images Q Tbn And9gcsaxxprmfgf Kptugevaprfi8gtycyzr6pcogaj62i Usqp Cau

Https Encrypted Tbn0 Gstatic Com Images Q Tbn And9gcsaxxprmfgf Kptugevaprfi8gtycyzr6pcogaj62i Usqp Cau

Troy Nagle Aranya Chakrabortty Solution Manual Signals Systems and Transforms 3rd Ed Charles Phillips John Parr Eve Riskin.

No need to wait for office hours or assignments to be graded to find out where you took a wrong turn. Solution Manual Digital Control and State Variable Methods Discrete-time Control Systems by Ogata 2nd Editionpdf Solutions Manual Digital Control System Analysis. Solution Manual for Digital Control Engineering Analysis and Design 2nd Edition Fadali. Digital Control System Analysis Design 3rd Edition 9780132938310 1292061227 9781292061221 9781292061887 0132938316. Solution Manual for Neural Networks and Learning Machines 3rd Edition by Haykin. 978-1292061221 PDF eBook eTextbook 528 pages ISBN-13. Digital Control System Analysis Design. Troy Nagle Aranya Chakrabortty Solution Manual Signals Systems and Transforms 3rd Ed Charles Phillips John Parr Eve Riskin. Solutions manual digital control system analysis design.


New to this edition. New to this edition. Solution Manual for Digital Control Engineering Analysis and Design 2nd Edition M. Digital Control System Analysis Design 4th Global Edition ISBN-13. On the practical aspects of designing and implementing digital control systems. Solution Manual for Fundamentals of Parallel Processing by Jordan. Phillips Troy Nagle Aranya Chakrabortty.

Post a Comment for "Digital Control System Analysis And Design 3rd Edition Solution Manual"