Skip to content Skip to sidebar Skip to footer

Beta Zerfall Einfach Erklärt

Beta Strahlung Einfach Erklart Mit Video

Beta Strahlung Einfach Erklart Mit Video

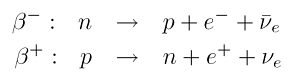
Beta zerfall einfach erklärt. Beim Beta-Minus-Zerfall erreicht der Kern eine stabilere Kernkonfiguration indem sich ein Neutron in ein Proton ein Elektron und ein Elektron-Anti-Neutrino umwandelt. Die Massenzahl bleibt unverändert jedoch wird die. Ein Neutron ein Elektron ergeben ein Proton ein Neutrino Ein Proton ein Neutrino ergeben ein Neutron ein Elektron.

Betazerfall β-Zerfall Sammelbezeichnung für verschiedene miteinander verwandte Prozesse der schwachen Wechselwirkung die unter Beteiligung von Elektronen oder Positronen ablaufen. Dabei können die Kernkräfte die abstoßenden Kräfte der Protonen nicht mehr ausgleichen. Dabei wandelt sich ein Neutron n in ein Proton p um.

Da die β-Strahlung deutlich leichter als die α-Strahlung ist und auch nur einfach negativ geladen ist ihr Ionisationsvermögen ungefähr mittelhoch. Bei einem Beta-Minus-Zerfall oder kurz. Beta zerfall einfach erklärt Alphastrahlung Betastrahlung einfach erklärt.

Zerfallsreihen durch aufeinanderfolgende Alpha- und Betazerfälle erklärt werden. Betastrahlung - Abitur Physik Einfach über diesen Link bei Amazon shoppen ohne Einfluss auf die Bestellung. Radioaktiver Zerfall - Alpha- Beta- und Gammazerfall - einfach und anschaulich erklärt - YouTube.

Als Beta-Strahlung bezeichnet man eine Strahlung aus Elektronen die durch den Beta-Zerfall von Atomkernen entstehtElektronenstrahlen können auch künstlich in einer Elektronenkanone erzeugt werden als Beta-Strahlung bezeichnet man sie jedoch nur wenn sie aus einem Kernzerfall stammt. Man findet den beta--Zerfall zum Beispiel in Kernen vor die über sehr viele Neutronen verfügen. Alpha Strahlung einfach erklärt.

Bei einem β -Zerfall gesprochen. Folgende Teilchen lassen sich identifizieren. In Folge bildet sich ein Helium-4-Atomkern welcher abgestoßen wird um einen Energieausgleich zu schaffen und den Mutterkern möglichst in einen stabilen Grundzustand zu überführen.

Beta-Strahlung besteht aus negativ geladenen Elektronen und wird im elektrischen Feld abgelenkt. Advertisements Überall wo ich im Internet geguckt habe stand zum Beta Zerfall.

Beta Strahlung Einfach Erklart Mit Video

Beta Strahlung Einfach Erklart Mit Video

Beta Strahlung Neu Einfach Erklart Youtube

Beta Strahlung Neu Einfach Erklart Youtube

B Zerfall Atomphysik Und Kernphysik Online Kurse

B Zerfall Atomphysik Und Kernphysik Online Kurse

Alphastrahlung Betastrahlung Einfach Erklart Das Mussen Sie Wissen Chip

Alphastrahlung Betastrahlung Einfach Erklart Das Mussen Sie Wissen Chip

Beta Zerfall Youtube

Beta Zerfall Youtube

Betastrahlung Wikipedia

Betastrahlung Wikipedia

Der Beta Zerfall Im Spickzettel Erklart Mit Veranschaulichung Physik Einfach Fur Die Schule Lernen Bei Studimup Physik Lernen Physik Spickzettel

Der Beta Zerfall Im Spickzettel Erklart Mit Veranschaulichung Physik Einfach Fur Die Schule Lernen Bei Studimup Physik Lernen Physik Spickzettel

Beta Zerfall Lexikon Der Astronomie

Beta Zerfall Lexikon Der Astronomie

Beta Minus Zerfall

Beta Minus Zerfall

Beta Zerfall

Beta Zerfall

Kernphysik Kernzerfall Zum Wiki

Kernphysik Kernzerfall Zum Wiki

Alphastrahlung Betastrahlung Einfach Erklart Das Mussen Sie Wissen Chip

Alphastrahlung Betastrahlung Einfach Erklart Das Mussen Sie Wissen Chip

Alphazerfall Spickzettel By Studimup Unterrichtsmaterial In Den Fachern Chemie Physik Physik Lernen Spickzettel Physik

Alphazerfall Spickzettel By Studimup Unterrichtsmaterial In Den Fachern Chemie Physik Physik Lernen Spickzettel Physik

Was Ist Beta Zerfall Beta Radioaktivitat Definition

Was Ist Beta Zerfall Beta Radioaktivitat Definition

Lp Zerfallsarten

Lp Zerfallsarten

Radioaktiver Zerfall

Radioaktiver Zerfall

Radioaktivitat Definition Strahlungsarten Und Beispiele Mit Video

Radioaktivitat Definition Strahlungsarten Und Beispiele Mit Video

Radioaktiver Zerfall Alpha Beta Und Gammazerfall Einfach Und Anschaulich Erklart Youtube

Radioaktiver Zerfall Alpha Beta Und Gammazerfall Einfach Und Anschaulich Erklart Youtube

Gammastrahlung Wikipedia

Gammastrahlung Wikipedia

Alpha Beta Gamma Strahlung Einfach Erklart

Alpha Beta Gamma Strahlung Einfach Erklart

Alpha Strahlung Einfach Erklart Mit Video

Alpha Strahlung Einfach Erklart Mit Video

Alphastrahlung Betastrahlung Einfach Erklart Das Mussen Sie Wissen Chip

Alphastrahlung Betastrahlung Einfach Erklart Das Mussen Sie Wissen Chip

Kernfragen De

Kernfragen De

1

1

A Zerfall Atomphysik Und Kernphysik Online Kurse

A Zerfall Atomphysik Und Kernphysik Online Kurse

Radioaktiver Zerfall

Radioaktiver Zerfall

Beta Strahlung Neu Einfach Erklart Youtube

Beta Strahlung Neu Einfach Erklart Youtube

Physikalische Grundlagen Der Nuklearmedizin Radioaktiver Zerfall Wikibooks Sammlung Freier Lehr Sach Und Fachbucher

Physikalische Grundlagen Der Nuklearmedizin Radioaktiver Zerfall Wikibooks Sammlung Freier Lehr Sach Und Fachbucher

Beta Strahlung Neu Einfach Erklart Youtube

Beta Strahlung Neu Einfach Erklart Youtube

Alphazerfall Und Alphastrahlung Strahlungsarten Und Zerfall Einfach Erklart Lakschool

Alphazerfall Und Alphastrahlung Strahlungsarten Und Zerfall Einfach Erklart Lakschool

Gamma Strahlung Einfach Erklart Mit Video

Gamma Strahlung Einfach Erklart Mit Video

Was Ist Radioaktivitat Global 2000

Was Ist Radioaktivitat Global 2000

Radioaktive Strahlung Physik Alpha Beta Gammastrahlung

Radioaktive Strahlung Physik Alpha Beta Gammastrahlung

Zerfallsreihen Radioaktivitat Einfach Erklart

Zerfallsreihen Radioaktivitat Einfach Erklart

Der Radioaktive Zerfall Erklarung Ubungen

Der Radioaktive Zerfall Erklarung Ubungen

Alpha Beta Gamma Strahlung Einfach Erklart

Alpha Beta Gamma Strahlung Einfach Erklart

Alpha Beta Und Gammastrahlung

Alpha Beta Und Gammastrahlung

Radioaktiver Zerfall Zerfallsarten

Radioaktiver Zerfall Zerfallsarten

Alpha Strahlung Neu Einfach Erklart Youtube

Alpha Strahlung Neu Einfach Erklart Youtube

Beta Minus Zerfall

Beta Minus Zerfall

Betastrahlung Wikipedia

Betastrahlung Wikipedia

Zuerst Rede Ich Dann Geht S Los Ppt Herunterladen

Zuerst Rede Ich Dann Geht S Los Ppt Herunterladen

Wie Funktioniert Ein Geigerzahler Mineralien Blog Mineralium De

Wie Funktioniert Ein Geigerzahler Mineralien Blog Mineralium De

Betastrahlung Physik Schule

Betastrahlung Physik Schule

Arten Ionisierender Strahlung

Arten Ionisierender Strahlung

Radioaktiver Zerfall Alpha Beta Und Gammazerfall Einfach Und Anschaulich Erklart Youtube

Radioaktiver Zerfall Alpha Beta Und Gammazerfall Einfach Und Anschaulich Erklart Youtube

Betastrahlung Wikipedia

Betastrahlung Wikipedia

Beta Strahlung Einfach Erklart Mit Video

Beta Strahlung Einfach Erklart Mit Video

Https Encrypted Tbn0 Gstatic Com Images Q Tbn And9gcqx79j7fmybuo6bmhvbj3qkpy1inxfq6m5pkkivzvkgzkqzf0x2 Usqp Cau

Https Encrypted Tbn0 Gstatic Com Images Q Tbn And9gcqx79j7fmybuo6bmhvbj3qkpy1inxfq6m5pkkivzvkgzkqzf0x2 Usqp Cau

Bei einem β -Zerfall gesprochen.

Advertisements Überall wo ich im Internet geguckt habe stand zum Beta Zerfall. Die Strahlung gefunden hat dadurch dass er nach einer Erklärung für periodisch. Radioaktiver Zerfall - Alpha- Beta- und Gammazerfall - einfach und anschaulich erklärt - YouTube. January 19 2017 Gunter. Bei einem Beta-Minus-Zerfall oder kurz. Neue Version Die Beta-Strahlung gehört zu den drei ionisierenden Strahlungsarten die bei radioaktiven Zerfällen freigesetzt werden. Dieser Zerfall tritt meistens bei Nukliden mit einem Neutronen-Überschuss auf. Betazerfall β-Zerfall Sammelbezeichnung für verschiedene miteinander verwandte Prozesse der schwachen Wechselwirkung die unter Beteiligung von Elektronen oder Positronen ablaufen. Beim Beta-Minus-Zerfall erreicht der Kern eine stabilere Kernkonfiguration indem sich ein Neutron in ein Proton ein Elektron und ein Elektron-Anti-Neutrino umwandelt.


Beim beta plus zerfall ein Proton wandelt sich in ein Neutron um und dann wird ja noch ein elektron abgestrahlt usw. Das Proton verbleibt dabei im Kern das Elektron wird als Beta-Teilchen emittiert. So gesehen ist der Beta-Zerfall einfach eine Übertragung von Elektrischer Ladung Lepton Hadron. Der Zerfall eines radioaktiven Atoms geschieht bekanntlich explosionsartig die alpha-Strahlen erreichen eine Geschwindigkeit bis zu 110 die Elektronen nahezu volle Lichtgeschwindigkeit. Bei einem β -Zerfall gesprochen. Dabei sendet dieses jedoch ein Elektron sowie ein Antineutrino aus. Beim beta plus zerfall ein Proton wandelt sich in ein Neutron um und dann wird ja noch ein elektron abgestrahlt usw.

Post a Comment for "Beta Zerfall Einfach Erklärt"